淮师新闻网5月25日电(记者 孙红兵) 根据Essential Science Indicators(ESI)公布的最新统计结果,万象城awcsport官网物电学院马鹏程博士在国际知名期刊《Phys. Rev. A》上发表的论文《可调的双模光力诱导透明效应》入选ESI高被引论文。

图为万象城awcsport官网物电学院马鹏程博士。记者 唐瑀 摄
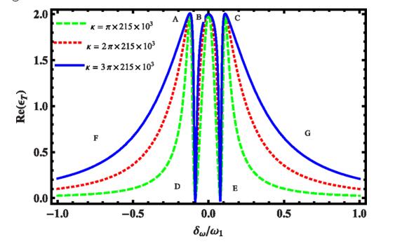
该文针对纳米机械振子与光腔耦合而引起的量子特性开展研究,通过引入带静电的纳米机械振子耦合光学腔,研究发现可以通过调节腔场失谐、泵浦场及探测场强度匹配可实现双模可调光力诱导透明现象;研究结果表明:当带电纳米机械振子与光学腔耦合强度达到一定数值的时候,光力诱导透明的窗口便从一个透明窗口劈裂成两个透明窗口, 其劈裂窗口大小跟耦合强度大小成正比关系, 并利用此量子特性实现精密测量库伦耦合常数。该成果自发表以来,已被SCI正面引用173次。
《Phys. Rev. A》是美国物理联合会(AIP)旗下的旗舰期刊,报道理论物理领域的最前沿的重大发现,也是Nature出版社评选的82种自然指数(Nature Index)期刊之一。
马鹏程博士长期致力于量子光学的研究,目前已在Phys. Rev. A、Optics Express等物理学类顶级期刊发表SCI论文近50篇,其中第一作者SCI论文26篇, SCI正面引用733次, H-index 12。主持完成国家自然科学基金项目1项。

图为 Web of Science 高被引检索

图为信号光的吸收与散射参数随着库伦耦合强度的变化关系

图为信号光的透明窗口大小与库伦耦合强度以及泵浦光强度的变化关系

图为信号光的透明参数分布与光学腔衰减率的变化关系
全文链接:https://journals.aps.org/pra/abstract/10.1103/PhysRevA.90.043825